FSW过程的原位智慧监控及数据对比
搅拌摩擦焊的优势
高质量焊接:
避免了传统焊接中的气孔、裂纹等缺陷,接头强度高,接头热影响区小。
材料适用性广:
适用于多种金属,包括铝、镁、铜、钛、钢等,以及异种金属的焊接。
绿色环保:
无需焊丝、保护气体,焊接过程中无烟尘产生,对环境友好。
高效率:
焊接速度快,生产效率高。
搅拌摩擦焊在以下领域具有显著的应用:
- 汽车工业:特别是电动汽车领域,用于电池托盘、热交换器、电力电子装置等部件的焊接。
- 航空航天:用于焊接飞机结构件、发动机零部件等,以提高焊接强度和耐久性。
- 轨道交通:适用于焊接车厢板、转向架等部件。
- 其他领域:还可应用于船舶制造、消费电子、核能等领域。
FSW过程的原位智慧监控及数据对比
- 测试图
- 工艺参数
- 现场监测结果
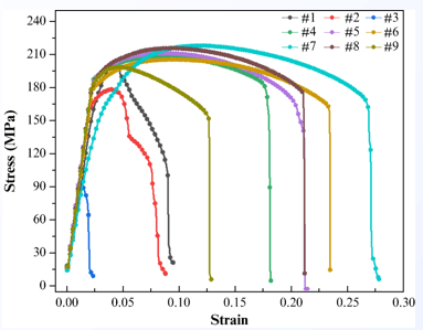
- 焊接试样的力学性能

| Sample | Rotati on speed (w) | Traverse speed (v) | Plunge depth (d) |
|---|---|---|---|
| # 1 | 600 | 50 | 0.2 |
| # 2 | 600 | 100 | 0.2 |
| # 3 | 600 | 200 | 0.2 |
| # 4 | 800 | 50 | 0.2 |
| # 5 | 800 | 100 | 0.2 |
| # 6 | 800 | 200 | 0.2 |
| # 7 | 1000 | 50 | 0.2 |
| # 8 | 1000 | 100 | 0.2 |
| # 9 | 1000 | 200 | 0.2 |

| Sample | T(°C) | Fx(kN) | Fz(kN) | N(Nm) |
|---|---|---|---|---|
| # 1 | 299.97 | 1.97 | 10.76 | 17.41 |
| # 2 | 304.23 | 1.99 | 10.87 | 18.72 |
| # 3 | 297.99 | 3.20 | 11.49 | 21.82 |
| # 4 | 323.87 | 1.33 | 9.39 | 17.18 |
| # 5 | 339.68 | 1.14 | 10.45 | 18.10 |
| # 6 | 338.34 | 1.55 | 10.78 | 20.38 |
| # 7 | 369.17 | 0.47 | 9.38 | 16.67 |
| # 8 | 367.83 | 0.73 | 10.21 | 17.69 |
| # 9 | 358.86 | 1.29 | 10.58 | 18.58 |

相关产品链接





